Chasing Unicorns
Harnessing the 37% Rule, Behavioural Science, and Zero-DTE Strategies to Outsmart Perfectionism, Fear, and Fatigue
1. The Hiring Puzzle That Changed Decision Theory
The secretary problem—now called the best-choice or optimal-stopping problem—asks how to maximize the chance of picking the single best candidate when you must decide on each applicant immediately, cannot recall anyone once rejected, and know nothing about who is still to come
Mathematically, the puzzle models countless real-world dilemmas: when to sell a rising stock, where to set a stop-loss, even which apartment to rent in a tight market.
2. Deriving the 37% Rule (Why You Reject the First Third)
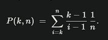
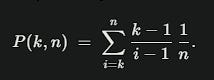
Let n be the total number of candidates.
Reject the first k – 1 outright (your exploration set).
From candidate k onward, accept the first person superior to all you have seen.
If each arrival order is equally likely, the probability of success is
For large n, replace the sum by an integral and set x=k/n:





